Systematic and Random Errors
The patient setup inaccuracies or errors can be divided into two categories: systematic and random errors. The systematic component of error is a deviation that occurs in the same direction and is of a similar magnitude for each fraction throughout the treatment time. The random component of errors is a deviation that can vary in direction and magnitude for each delivered treatment fraction.
The systematic and random errors together define the set-up errors and CTV-PTV geometric margins. The calculation of these errors is based on the term “treatment population”, which is used to represent all patients treated with a specific technique (treatment site and immobilisation method). The set-up errors for this population are estimated by calculation for a group of patients whose results are assumed to accurately represent those of the population from which they are drawn.
If for one patient the kth treatment is delivered with dk set-up error, than the „individual mean set up error” of n fractions is:
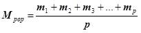
For the analysed group of p patients the “overall population mean set-up error” is:
The systematic error for the population is defined as the SD (spread) of the individual mean set-up errors about the overall population means (Mpop):
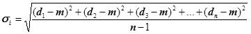
The individual random error is the SD of individual set-up error:
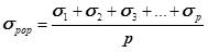
The population random error is the mean of all the individual random errors :
CTV-PTV margin can compute with the next formula after determination of systematic and random errors:
Image Registration is the process of estimating an optimal transformation between two images (planning and verification CT in radiotherapy).
(Comment: Tervezési CT képkészlet = Planning CT images; Kezelési CT képkészlet = Treatment CT images; Képregisztrálás Image registration, Tervezési izocentrum = Planning izocetre; Kezelési izocentrum = Treatment izocentre)
The isocenter is the centre of target volume, which is determined during the radiation treatment planning. Isocenter of treatment plan and the isocenter of treatment machine have to be in the same point during the patient set-up. Two sets of images (verification CT image and the primary CT image) automatically or manually align with image registration.
(Comment: Tervezési izocentrum asztalpozíció = Planning izocetre table position; Kezelési izocentrum asztalpozíciója= Treatment izocentre table position)
In most cases the two isocentres does not coincide. On the base of coordinates, the software for verification can calculate the differences for three spatial directions (X, Y, Z). Then the treatment table will be displaced and the set-up error will be corrected.
After the table displacement, the isocentre of treatment planning coincides with isocentre of treatment machine and the patient set-up will be correct.